机器学习的正则化方法
在搭建机器学习模型时,除了对目标计算损失外,还可对参数加入约束,以使得模型泛化能力更强
什么是正则化 (regularization)?
- 正则化是针过拟合 (overfitting) 而提出的,在求解模型最优一般是优经验风险最小化,在该经验风险上加入模型复杂度结构风险最小化),从而避免过拟合的危险
- 常见的正则化 L1 正则化、L2 正则化、丢弃正则化 (Dropout) ,其中 L1 正则化倾向稀疏权重 (减少参数)、L2 正则倾向缩小权重 (减小参数)、Dropout 倾向减小神经元之间共适应性,相当于在原来模型基础上加入先验信息,也就是说,正则化可以在学习过程中降低模型复杂度和不稳定程度
什么是 L1 正则化?
- 一种正则化,根据权重的绝对值的总和来惩罚权重。在依赖稀疏特征的模型中,L1 正则化有助于使不相关或几乎不相关的特征的权重正好为 0(减少参数),从而将这些特征从模型中移除。与 L2 正则化相
什么是 L2 正则化?
- 一种正则化,根据权重的平方和来惩罚权重。L2 正则化有助于使离群值(具有较大正值或较小负值)权重接近于 0(减少参数),但又不正好为 0。(与 L1 正则化相对。)在线性模型中,L2 正则化始终可以改进泛
什么是 Tikhonov (吉洪诺夫) 正则化?
- 适定性问题常见的正则化方法 ,在统计学上,这种方法被称 Ridge 回归 (岭回归),在机器学习中,它被称什么是权重衰减 (weight decay)?
- 对于 ,当 时,利用最小二乘法求解 w 时, 会出现发散或对 w 的不合理逼近,为解决这个问题,吉洪诺夫提出了利用正则化项修普通最小二乘法 (OLS) 的代价函
L1 和 L2 正则先验分别服从什么分布?
- 对参数引拉普拉斯分布等价 L1 正则化
- 对参数引高斯正态分布 (normal) 相当 L2 正则化
- 正则化参数等价于对参数引入先验分布,使得 模型复杂度 变小(缩小解空间),对于噪声以及异常值的鲁棒性增强泛化能力)
L1 和 L2 的区别?
![]()
- L1:更稀疏、更快、更稳定
- L2:更平滑、慢、不稳定
L1、L2 正则化为什么能防止过拟合?
- L1 正则化可以产生稀疏权值矩阵,即产生一个稀疏模型,一定程度防止过拟合 (overfitting) ,因为一个模型中真正重要的参数可能并不多
- L2 正则化可以通过减小参数来防止模型过拟合 (overfitting)
- 参数值越小说明模型越简单,因为有较大的参数值才能产生较大的导数
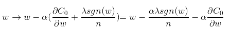
L1 正则化项是如何作用于权值 w 的步骤?
- L1 正则化可以产生稀疏权值矩阵,即产生一个稀疏模型
- 代价函数的梯度
![]()
- 更新权重
![]()
- 其中 α 学习速率 (learning rate),sgn (w) 为 w 的正负号,当 w 大于 0 会减去一个正项,使 w 减小;当 w 小于 0 会减去一个负项,使 w 变大。因此 l1 正则化容易使 w 变为 0
- 总得来说,l1 和 L2 正则化都是通过减小权值 w,使某些神经元的作用变小甚至可以勿略,从而降低网络模型的复杂度来防止过拟合。这与 dropout 通过以一定的概率丢弃神经元的做法在效果上是相似的。 也可以理解为:加了先验。在数据少的时候,先验知识可以防止过拟合。(因为模型复杂度变低)
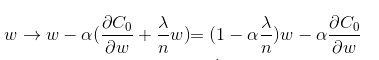
L2 正则化项是如何作用于权值 w 的步骤?
- L2 正则化可以通过减小参数来防止模过拟合 (overfitting)
- 代价函数的梯度
![]()
- 更新权重
![]()
- 其中 α 为学习率,因为为非负项,因此 w 的系数是小于 1 的,在迭代更新中,w 会不断地减小。因此 l2 正则化又叫什么是权重衰减 (weight decay)?
- 总得来说,l1 和 l2 正则化都是通过减小权值 w,使某些神经元的作用变小甚至可以勿略,从而降低网络模型的复杂度来防止过拟合。这与 dropout 通过以一定的概率丢弃神经元的做法在效果上是相似的。 也可以理解为:加了先验。在数据少的时候,先验知识可以防止过拟合。(因为模型复杂度变低)
为什么参数小能降低过拟合?
![]()
- 模型过于复杂是因为模型尝试去兼顾各个测试数据点, 导致模型函数如下图,处于一种动荡的状态, 每个点的到时在某些很小的区间里,函数值的变化很剧烈。这就意味着函数在某些小区间里的导数值(绝对值)非常大,由于自变量值可大可小,所以只有系数足够大,才能保证导数值很大。
- 如果发过拟合 (overfitting), 参数 θ 一般是比较大的值, 加入惩罚项后, 只要控制 λ 的大小,当 λ 很大时,θ1 到 θn 就会很小,即达到了约束数量庞大的特征的目的
![]()
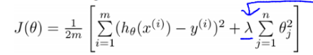
正则化(L1、L2)与 Lasso 回归、Ridge 回归的关系?
- Lasso 回归 Ridge 回归 (岭回归) 是分别在标准线性回归基础上加上 L1、L2 正则项的回归方法
- 用以限制回归过程模型参数的解空间,可进行特征选择或避过拟合 (overfitting)






