MetaGPT-Flow

单个智能体可以执行一个或多个动作,那是不是一直使用一个智能体即可呢?存在以下两个问题:

  • Prompt 依赖:动作越多,要求 Prompt 越精细,才能准确控制其动作,尤其是有相似动作时
  • 动作选择上限:Openai 建议一个 agent 绑定不超过 20 个动作,动作太多,agent 选择工具能力下降 Function calling - OpenAI API
  • SOP (标准作业流程) 问题:在现实工作中,常常存在一个标准流程,如果每次节点都依赖 llm 去选择后续的逻辑分支,软件变得不可控

基于以上问题,提出多 agent,不同的 agent 有自己的 prompt、动作,多个 agent,降低了多 prompt 的依赖,并且按照不同工作的 SOP 限定 agent 的先后顺序

1
2
3
4
5
6
7
8
9
10
11
12
13
14
15
16
17
18
19
20
21
22
23
24
25
26
27
28
29
30
31
32
33
34
35
36
37
38
39
40
41
42
43
44
45
46
47
48
49
50
51
52
53
import nest_asyncio
nest_asyncio.apply()
import re
from metagpt.actions import Action
from metagpt.logs import logger

# 设置模型花费,避免出现警告
from metagpt.utils.cost_manager import TOKEN_COSTS
TOKEN_COSTS.update({'qwen2.5:latest':{'prompt': 0.0015, 'completion': 0.002}})

def parse_code(rsp):
pattern = r"```python(.*)```"
match=re.search(pattern,rsp,re.DOTALL)
code_text=match.group(1) if match else rsp
return code_text

class SimpleWriteCode(Action):
PROMPT_TEMPLATE: str = """
Write a python function that can {instruction}.
Return ```python your_code_here ``` with NO other texts,
your code:
"""
name: str = "SimpleWriteCode"
async def run(self, instruction: str):
prompt = self.PROMPT_TEMPLATE.format(instruction=instruction)
rsp = await self._aask(prompt)
code_text = parse_code(rsp)
return code_text

class SimpleWriteTest(Action):
PROMPT_TEMPLATE: str = """
Context: {context}
Write {k} unit tests using pytest for the given function, assuming you have imported it.
Return ```python your_code_here ``` with NO other texts,
your code:
"""
name: str = "SimpleWriteTest"
async def run(self, context: str, k: int = 3):
prompt = self.PROMPT_TEMPLATE.format(context=context, k=k)
rsp = await self._aask(prompt)
code_text = parse_code(rsp)
return code_text

class SimpleWriteReview(Action):
PROMPT_TEMPLATE: str = """
Context: {context}
Review the test cases and provide one critical comments:
"""
name: str = "SimpleWriteReview"
async def run(self, context: str):
prompt = self.PROMPT_TEMPLATE.format(context=context)
rsp = await self._aask(prompt)
return rsp

2024-12-13 10:50:43.508 | INFO | metagpt.const:get_metagpt_package_root:29 - Package root set to c:\CodeRepos\python\MyCode\Learnning_MetaGPT

1
2
3
4
5
6
7
8
9
10
11
12
13
14
15
16
17
18
19
20
21
22
23
24
25
26
27
28
29
30
31
32
33
34
35
36
37
38
39
40
41
42
43
44
45
46
47
48
49
50
51
52
53
54
55
56
57
from metagpt.roles import Role
from metagpt.schema import Message
from metagpt.actions import UserRequirement
class SimpleCoder(Role):
name: str = "Alice"
profile: str = "SimpleCoder"
def __init__(self, **kwargs):
super().__init__(**kwargs)
self._watch([UserRequirement])
self.set_actions([SimpleWriteCode])
class SimpleTester(Role):
name: str = "Bob"
profile: str = "SimpleTester"
def __init__(self, **kwargs):
super().__init__(**kwargs)
self.set_actions([SimpleWriteTest])
self._watch([SimpleWriteCode])
# self._watch([SimpleWriteCode, SimpleWriteReview]) # feel free to try this too
async def _act(self) -> Message:
logger.info(f"{self._setting}: to do {self.rc.todo}({self.rc.todo.name})")
todo = self.rc.todo
# context = self.get_memories(k=1)[0].content # use the most recent memory as context
context = self.get_memories() # use all memories as context
code_text = await todo.run(context, k=5) # specify arguments
msg = Message(content=code_text, role=self.profile, cause_by=type(todo))
return msg
class SimpleReviewer(Role):
name: str = "Charlie"
profile: str = "SimpleReviewer"
def __init__(self, **kwargs):
super().__init__(**kwargs)
self.set_actions([SimpleWriteReview])
self._watch([SimpleWriteTest])

import fire
from metagpt.logs import logger
from metagpt.team import Team
async def main(
idea: str = "write a function that calculates the product of a list",
investment: float = 3.0,
n_round: int = 5,
):
logger.info(idea)
team = Team()
team.hire(
[
SimpleCoder(),
SimpleTester(),
SimpleReviewer(),
# SimpleReviewer(is_human=True),
]
)
team.invest(investment=investment)
team.run_project(idea)
await team.run(n_round=n_round)
if __name__ == "__main__":
fire.Fire(main)
1
2
3
4
5
6
7
8
9
10
11
12
13
2024-12-13 11:18:07.884 | INFO     | metagpt.const:get_metagpt_package_root:29 - Package root set to C:\CodeRepos\python\MyCode\Learnning_MetaGPT
2024-12-13 11:18:11.354 | INFO | __main__:main:127 - 写一个函数,能计算列表所有元素的乘积
2024-12-13 11:18:11.367 | INFO | metagpt.team:invest:90 - Investment: $3.0.
2024-12-13 11:18:11.375 | INFO | metagpt.roles.role:_act:391 - Alice(SimpleCoder): to do SimpleWriteCode(SimpleWriteCode)
2024-12-13 11:19:01.147 | WARNING | metagpt. Utils. Cost_manager:update_cost: 49 - Model qwen 2.5:14b not found in TOKEN_COSTS.
2024-12-13 11:19:01.156 | INFO | __main__:_act: 96 - Bob (SimpleTester): to do SimpleWriteTest (SimpleWriteTest)
2024-12-13 11:19:03.656 | WARNING | metagpt. Utils. Cost_manager:update_cost: 49 - Model qwen 2.5:14b not found in TOKEN_COSTS.
2024-12-13 11:19:03.662 | INFO | metagpt. Roles. Role:_act: 391 - Charlie (SimpleReviewer): to do SimpleWriteReview (SimpleWriteReview)
测试用例覆盖了多种情况,包括正数、负数、包含零的列表以及空列表和单元素列表。这有助于确保函数在各种输入下的正确性。
一个关键性的评论是:测试用例应该考虑到列表中可能存在的非整数值(如浮点数或复数),以验证函数是否能够处理这些情况并返回正确的
结果。例如,可以添加如下测试案例:
这将确保函数不仅限于整数列表,还能处理更广泛的数据类型。
2024-12-13 11:19:06.484 | WARNING | metagpt. Utils. Cost_manager:update_cost: 49 - Model qwen 2.5:14b not found in TOKEN_COSTS.

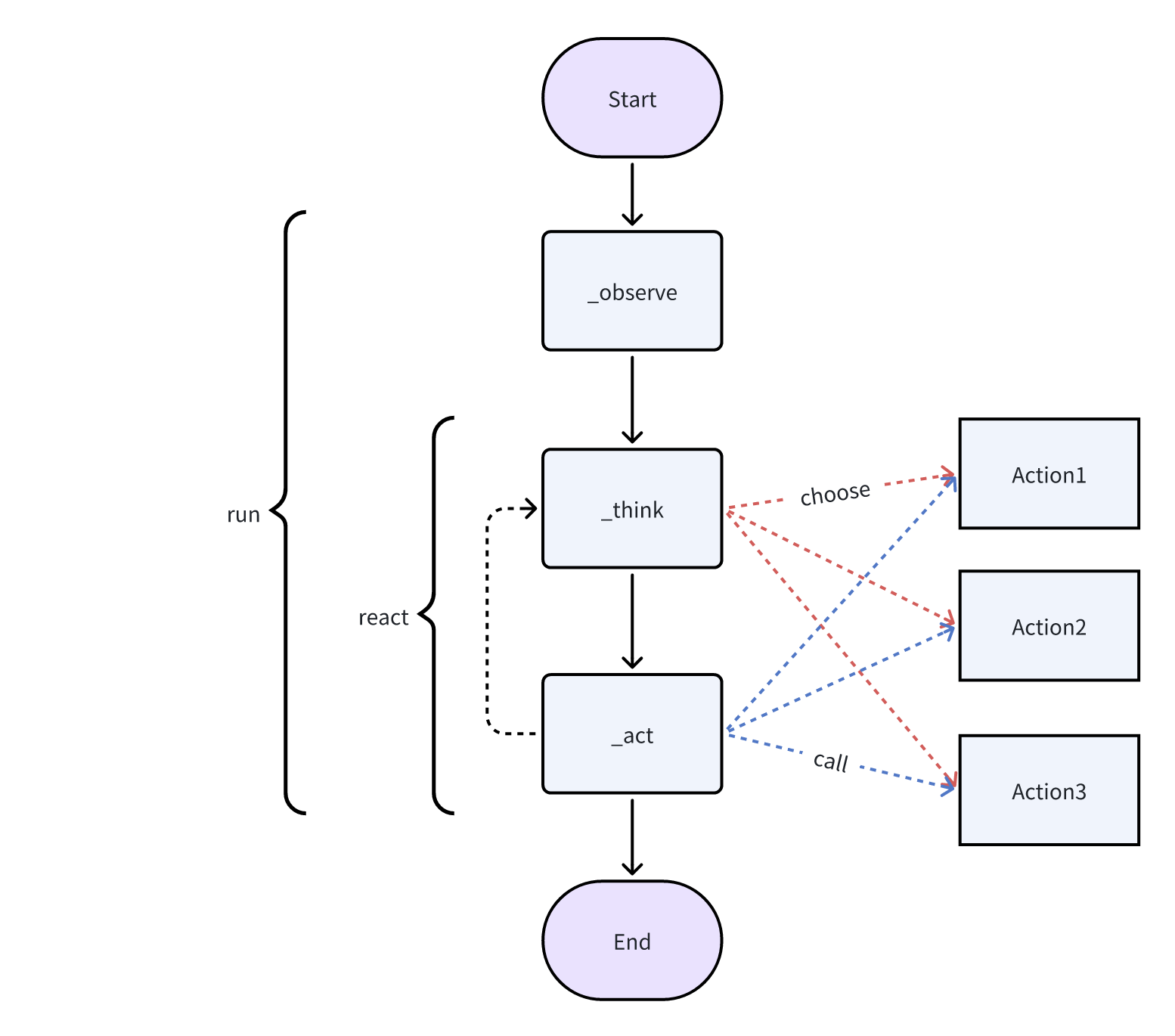
在多 Agent 中,Meta 定义多个角色,并通过_watch 监视某个动作是否出现执行结果,这就类似构建一个流程,自身的执行依赖被监视的结果出现,和 llamaIndex 构建 Flow 时,使用的 @listen () 一个道理
在人工构建_watch 逻辑过程中,相当于构建了多 Agent 的执行流程,也就是构建了处理任务的 SOP,类似下图:用户需求 ->SimpleCodeer->SimpleTester->SimpleReviewer,但是虽然有流程,但是 llm 会根据输出,存在回环的问题,比如 SimpleReviewer->SimpleTester。

MetaGPT-Flow-20250115191734